当前位置:首页 > 概率论与数理统计(二)(02197) > 正文内容

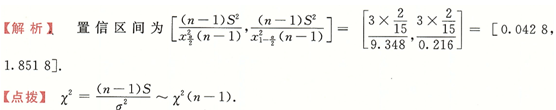
一台自动车床加工的零件长度X(单位:cm)服从正态分布N(μ,σ2),从该车床加工的零件中随机抽取4个,测得样本方差S2=2/15,试求总体方差σ2的置信度为95%的置信区间.(附:x20.025 (3)=9.348,x20.975(3)=0.216,x20.025 (4)=11.143,x

高老师2年前 (2024-03-26)概率论与数理统计(二)(02197)11

一台自动车床加工的零件长度X(单位:cm)服从正态分布N(μ,σ2),从该车床加工的零件中随机抽取4个,测得样本方差S2=2/15,试求总体方差σ2的置信度为95%的置信区间.(附:x20.025 (3)=9.348,x20.975(3)=0.216,x20.025 (4)=11.143,x20.975 (4)=0.484)

扫描二维码免费使用微信小程序搜题/刷题/查看解析。

版权声明:本文由翰林刷题小程序授权发布,如需转载请注明出处。

本文链接:https://doc.20230611.cn/post/428547.html

分享给朋友: