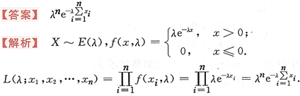
设总体X服从参数为λ的指数分布,x1,x2,…,xn为来自该总体的样本,在对λ进行极大似然估计时,记L(λ;x1,x2,…,xn)为似然函数,则当x1,x2,…,xn都大于0时L(λ;x1, x2,…,xn)= ___________。
扫描二维码免费使用微信小程序搜题/刷题/查看解析。
版权声明:本文由翰林刷题小程序授权发布,如需转载请注明出处。
本文链接:https://doc.20230611.cn/post/428544.html
上一篇:Three Ways to Become More CreativeEveryone has___41___ (imagine), but most of us forget how to access it. Creativity isn’t always ___42___ (connect) with great ideas. People at work ___43___ (routine) think of creative ways to solve problem
下一篇:在媒体采编流程方面预防虚假失实报道产生的具体措施有_______。( )