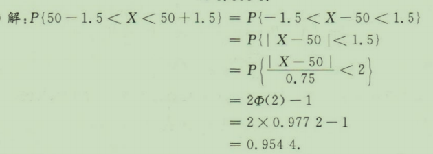
由自动车床生产的零件的长度(毫米)X服从正态分布N(50,0.75²),如果规定零件的长度在50±1.5毫米之间为合格品,求生产的零件是合格品的概率。
扫描二维码免费使用微信小程序搜题/刷题/查看解析。
版权声明:本文由翰林刷题小程序授权发布,如需转载请注明出处。
本文链接:https://doc.20230611.cn/post/428508.html
上一篇:With a relative pronoun or relative adverb: Government reports, legal documents and most business letters are the main situations in____formal language is used.
下一篇:神学教育目的论的代表人物是