求Y=X³的期望与方差。

- 概率论与数理统计(二)(02197) - 专业知识收录平台">
求Y=X³的期望与方差。

- 概率论与数理统计(二)(02197) - 专业知识收录平台">
当前位置:首页 > 概率论与数理统计(二)(02197) > 正文内容

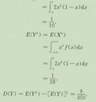
设X的密度函数为

求Y=X³的期望与方差。

高老师2年前 (2024-03-26)概率论与数理统计(二)(02197)6

设X的密度函数为

求Y=X³的期望与方差。


扫描二维码免费使用微信小程序搜题/刷题/查看解析。

版权声明:本文由翰林刷题小程序授权发布,如需转载请注明出处。

本文链接:https://doc.20230611.cn/post/428492.html

分享给朋友: