试确定常数k,并求E(XY),D(XY)。

- 概率论与数理统计(二)(02197) - 专业知识收录平台">
试确定常数k,并求E(XY),D(XY)。

- 概率论与数理统计(二)(02197) - 专业知识收录平台">
当前位置:首页 > 概率论与数理统计(二)(02197) > 正文内容

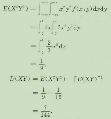
若(X,Y)的联合密度函数为

试确定常数k,并求E(XY),D(XY)。

高老师2年前 (2024-03-26)概率论与数理统计(二)(02197)11

若(X,Y)的联合密度函数为

试确定常数k,并求E(XY),D(XY)。


扫描二维码免费使用微信小程序搜题/刷题/查看解析。

版权声明:本文由翰林刷题小程序授权发布,如需转载请注明出处。

本文链接:https://doc.20230611.cn/post/428489.html

分享给朋友: