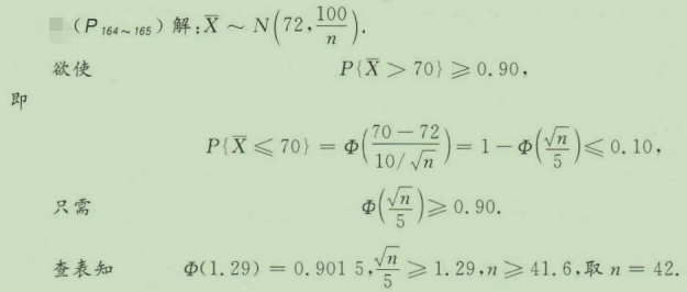
设总体X〜N(72,100),为使样本均值大于70的概率不小于90%,则样本容量n至少应取多少?
扫描二维码免费使用微信小程序搜题/刷题/查看解析。
版权声明:本文由翰林刷题小程序授权发布,如需转载请注明出处。
本文链接:https://doc.20230611.cn/post/428479.html
上一篇:Charlotte Brontё’s ____________ is noted for its sharp criticism of the existing society, e.g. the religious hypocrisy of charity institutions.
下一篇:加拿大电子商务协会给出了电子商务较为严格的定义:电子商务是通过数字通信进行商品和服务的买卖以及资金的转账,它还包括公司之间和公司内部利用( )所能实现的全部功能。