=2.2,Sd=0.8。
(1)请计算饮用咖啡前后心肌血流量数据差值的标准误。
(2)推断饮用咖啡前后运动者心肌血流量有无差 - 预防医学(二)(03200) - 专业知识收录平台">
=2.2,Sd=0.8。
(1)请计算饮用咖啡前后心肌血流量数据差值的标准误。
(2)推断饮用咖啡前后运动者心肌血流量有无差 - 预防医学(二)(03200) - 专业知识收录平台">
评估咖啡因对运动者的心肌血流量的影响,先后测定16名男性志愿者饮用咖啡前后运动状态下的心肌血流量(ml/min/g),饮用咖啡前后心肌血流量数据的差值:
=2.2,Sd=0.8。
(1)请计算饮用咖啡前后心肌血流量数据差值的标准误。
(2)推断饮用咖啡前后运动者心肌血流量有无差
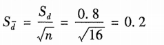
评估咖啡因对运动者的心肌血流量的影响,先后测定16名男性志愿者饮用咖啡前后运动状态下的心肌血流量(ml/min/g),饮用咖啡前后心肌血流量数据的差值:
=2.2,Sd=0.8。
(1)请计算饮用咖啡前后心肌血流量数据差值的标准误。
(2)推断饮用咖啡前后运动者心肌血流量有无差异(t₀.₀₅,₁₅ = 2. 131)?
(1)
(2) H₀:饮用咖啡前后运动者的心肌血流量无差别
t=11> 2.131,P拒绝H₀,饮用咖啡前后运动者的心肌血流量有差别。
扫描二维码免费使用微信小程序搜题/刷题/查看解析。
版权声明:本文由翰林刷题小程序授权发布,如需转载请注明出处。