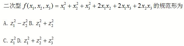
初中语文课程目标是一个以“语文_____”为核心的标准体系。
素养
扫描二维码免费使用微信小程序搜题/刷题/查看解析。
版权声明:本文由翰林刷题小程序授权发布,如需转载请注明出处。
本文链接:https://doc.20230611.cn/post/366047.html
上一篇:根据下图写出HTML文档源代码。要求:①显示标题为“表单示例三”②使用单选框实现选择“您的性别”功能;③使用复选框实现选择“您的爱好”,默认选中“运动”的功能;④添加“发送表单伊和“重新填写“两个功能按钮。 下一篇:简述绩效计划的内容。
根据下图写出HTML文档源代码。要求:①显示标题为“表单示例三”②使用单选框实现选择“您的性别”功能;③使用复选框实现选择“您的爱好”,默认选中“运动”的功能;④添加“发送表单伊和“重新填写“两个功能按钮。
下一篇:简述绩效计划的内容。