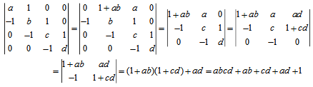
计算行列式:
- 线性代数(经管类)(04184) - 专业知识收录平台">
扫描二维码免费使用微信小程序搜题/刷题/查看解析。
版权声明:本文由翰林刷题小程序授权发布,如需转载请注明出处。
本文链接:https://doc.20230611.cn/post/275055.html
上一篇:建筑后退是指在城市建设中建筑物相对于规划______和各种规划控制线的后退距离,通常以后退距离的______进行控制。
下一篇:很多企业在进行薪酬结构设计时,在企业内部针对不同的岗位、不同岗位技能水平、不同员工的业绩水平的差异,适当拉开薪酬差距。这一做法体现了企业薪酬结构设计中的哪一个原则?()