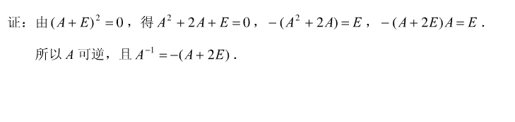
设A 是n 阶方阵,且(A+E)²=0, 证明A 可逆.
扫描二维码免费使用微信小程序搜题/刷题/查看解析。
版权声明:本文由翰林刷题小程序授权发布,如需转载请注明出处。
本文链接:https://doc.20230611.cn/post/274761.html
上一篇:研究密码变化客观规律中的固有缺陷,并应用于破译密码以获取通信情报的学问称为( )。
研究密码变化客观规律中的固有缺陷,并应用于破译密码以获取通信情报的学问称为( )。
下一篇:1958-1978年,出于战略上的考虑,加速实现工业化的目标,国家在生产资料和消费资料上采取()的分配方式,劳动力资源采取()的方式。