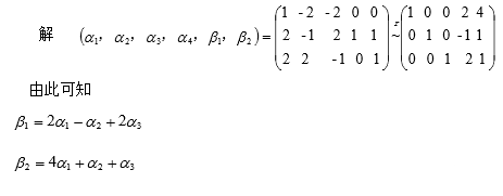
- 线性代数(经管类)(04184) - 专业知识收录平台"> - 线性代数(经管类)(04184) - 专业知识收录平台">
扫描二维码免费使用微信小程序搜题/刷题/查看解析。
版权声明:本文由翰林刷题小程序授权发布,如需转载请注明出处。
本文链接:https://doc.20230611.cn/post/274570.html
上一篇:绝对数比较分析法是将各有关会计报表项目的数额与比较对象进行比较。绝对数比较分析一般通过编制比较财务报表进行,包括()。
下一篇:某汽车销售公司销售A品牌汽车,在市场上流通一段时间后,发现该汽车存在刹车失灵问题,故发出召回产品的通知。关于该案下列表述正确的是 ()