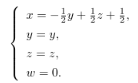
求解非齐次线性方程组的解:
- 线性代数(经管类)(04184) - 专业知识收录平台">
扫描二维码免费使用微信小程序搜题/刷题/查看解析。
版权声明:本文由翰林刷题小程序授权发布,如需转载请注明出处。
本文链接:https://doc.20230611.cn/post/274233.html
上一篇:_______是汇出行应汇款人的申请,用电讯手段通知汇入行解付一定金额款项的付款方式。
下一篇:廉租房住户退回廉租房的情形之一是,无正当理由连续未在所承租的廉租房居住的时间达到( )
廉租房住户退回廉租房的情形之一是,无正当理由连续未在所承租的廉租房居住的时间达到( )