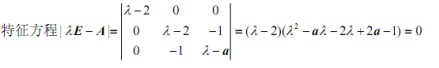
已经矩阵的一个特征值为1,求数a,并求正交矩阵Q和对角矩阵A。使得 的一个特征值为1,求数a,并求正交矩阵Q和对角矩阵A。使得 的一个特征值为1,求数a,并求正交矩阵Q和对角矩阵A。使得
已经矩阵的一个特征值为1,求数a,并求正交矩阵Q和对角矩阵A。使得 高老师2年前 (2024-03-26)线性代数(经管类)(04184)15 已经矩阵的一个特征值为1,求数a,并求正交矩阵Q和对角矩阵A。使得 扫描二维码免费使用微信小程序搜题/刷题/查看解析。版权声明:本文由翰林刷题小程序授权发布,如需转载请注明出处。 本文链接:https://doc.20230611.cn/post/274007.html 分享给朋友: 微博 QQ 微信 豆瓣 QQ空间 领英
已经矩阵的一个特征值为1,求数a,并求正交矩阵Q和对角矩阵A。使得
扫描二维码免费使用微信小程序搜题/刷题/查看解析。
版权声明:本文由翰林刷题小程序授权发布,如需转载请注明出处。
本文链接:https://doc.20230611.cn/post/274007.html
上一篇:晋升激励适合_____销售人员。()
下一篇:俄国最早的国立初等学校开办的时间是