- 线性代数(经管类)(04184) - 专业知识收录平台">

- 线性代数(经管类)(04184) - 专业知识收录平台">
当前位置:首页 > 线性代数(经管类)(04184) > 正文内容

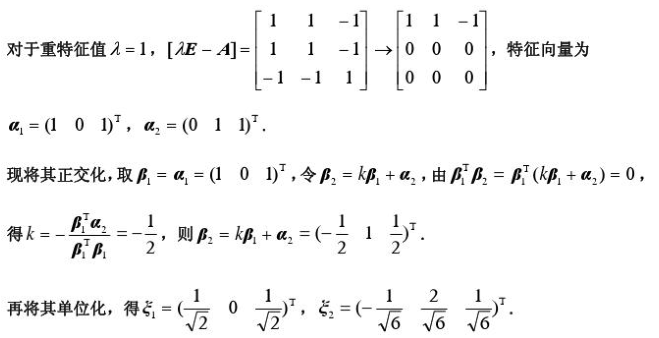
求正交变换X=PY,化二次型

高老师2年前 (2024-03-26)线性代数(经管类)(04184)15

求正交变换X=PY,化二次型




扫描二维码免费使用微信小程序搜题/刷题/查看解析。

版权声明:本文由翰林刷题小程序授权发布,如需转载请注明出处。

本文链接:https://doc.20230611.cn/post/273961.html

分享给朋友: