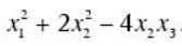
设矩阵
- 线性代数(经管类)(04184) - 专业知识收录平台">
扫描二维码免费使用微信小程序搜题/刷题/查看解析。
版权声明:本文由翰林刷题小程序授权发布,如需转载请注明出处。
本文链接:https://doc.20230611.cn/post/273960.html
上一篇:在历史上,许多民族在汉字影响下创造了本民族文字,这些文字可分为两类,属于字形结构虽受汉字影响,但有自己的特点,借用汉字不太多的少数民族文字有( )
下一篇:计息及转账题(若有小数点,请保留小数点后两位数)①储户李燕于2008年2月8日来行存款30,000元,她所选择的储种是整存整取定期储蓄存款1年期,年利率为2.25%。但该储户于2008年9月8日来行办理部分提前支取,支取金额为20,000元,其余的续存。支取当日挂牌的活期储蓄存款利率为0.72%。试计算提前支取本金的利息并做出提前支取本息的账务处理。②本行收到互惠公司提交的尚有两个月到期,票面金额为30,000元的银行承兑汇票及一式五联贴现凭证,经审查同意办理。贴现利率为2.94%。试计息并转账