当前位置:首页 > 工程经济(02194) > 正文内容

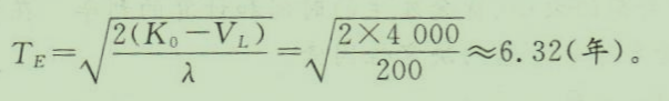
某企业购买一台设备.购置费用为4000元,第一年年度使用费为2000元,以后每年增加200元,由于设备是为该企业定做的,任何时候设备都不计残值。假如不考虑资金的时间价值,求设备的经济寿命。

高老师2年前 (2024-03-28)工程经济(02194)18

某企业购买一台设备.购置费用为4000元,第一年年度使用费为2000元,以后每年增加200元,由于设备是为该企业定做的,任何时候设备都不计残值。假如不考虑资金的时间价值,求设备的经济寿命。

解:将题目中数值代入公式可得:

扫描二维码免费使用微信小程序搜题/刷题/查看解析。

版权声明:本文由翰林刷题小程序授权发布,如需转载请注明出处。

本文链接:https://doc.20230611.cn/post/1152021.html

分享给朋友: