专业知识收录平台专业知识收录平台
  • 首页
  • 关于
当前位置:首页 > 项目时间管理(05063) > 正文内容

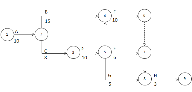
请画出该项目的双代号网络图。

高老师2年前 (2024-03-27)项目时间管理(05063)12

请画出该项目的双代号网络图。


扫描二维码免费使用微信小程序搜题/刷题/查看解析。

版权声明:本文由翰林刷题小程序授权发布,如需转载请注明出处。

本文链接:https://doc.20230611.cn/post/1111125.html

分享给朋友:
微博 QQ 微信 豆瓣 QQ空间 领英
返回列表

上一篇:乙公司2020年末税后净利润为12亿元,2021年已确定的投资项目需要资金15亿元。公司的目标资本结构为:负债资本占40%,股东权益资本占60%。公司多年来一直采用剩余股利政策。(1)根据目标资本结构的要求,计算公司投资方案所需的权益资本数额。(2)在满足投资方案所需的权益资本数额条件下,计算2020年公司可用于发放股利的数额。(3)计算公司2020年的股利支付率。

下一篇:普通合伙企业设立应具备哪些条件?

友情链接
  • 南离文苑

© 2023 个人记事本 - https://20230611.cn . All rights reserved 粤ICP备20061021号-2