专业知识收录平台专业知识收录平台
  • 首页
  • 关于
当前位置:首页 > 项目时间管理(05063) > 正文内容

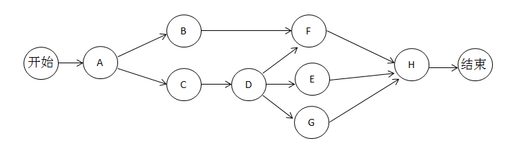
请画出单代号网络图

高老师2年前 (2024-03-27)项目时间管理(05063)17

请画出单代号网络图


扫描二维码免费使用微信小程序搜题/刷题/查看解析。

版权声明:本文由翰林刷题小程序授权发布,如需转载请注明出处。

本文链接:https://doc.20230611.cn/post/1111124.html

分享给朋友:
微博 QQ 微信 豆瓣 QQ空间 领英
返回列表

上一篇:案例:出票人栏中显示甲公司印章,并记载:"受乙公司委托,本公司代理出票"。持票人向乙公司提示付款被乙拒绝,乙表示从未委托甲出票。持票人以甲、乙为被告向法院起诉,要求判令甲、乙连带支付票据金额。试问:(1)如果有证据证明乙委托甲出票,甲的行为构成什么?在此情况下,票据债务人是谁?(2)如果没有证据证明乙委托甲出票,甲的行为构成什么?在此情况下,票据债务人是谁?(3)持票人要求判令甲、乙连带支付票据金额的主张是否有法律依据?

下一篇:词的比喻义跟修辞上的比喻并不一样,词的比喻义是词固定下来的意义,修辞上的比喻是临时的。

友情链接
  • 南离文苑

© 2023 个人记事本 - https://20230611.cn . All rights reserved 粤ICP备20061021号-2