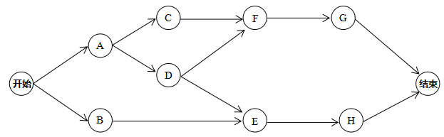
请画出该项目的单代号网络图
扫描二维码免费使用微信小程序搜题/刷题/查看解析。
版权声明:本文由翰林刷题小程序授权发布,如需转载请注明出处。
本文链接:https://doc.20230611.cn/post/1111110.html
上一篇:把几个应聘者组成一个小组,给他们提供一个议题,事先并不指定主持人,让他们通过小组讨论的方式在限定时间内给出一个决策,评委们则在旁边观察所有应聘者的行为表现并作出评价。这属于评价中心测试方法中的()
下一篇:循环信用证按金额循环方式的不同,可以分为