当前位置:首页 > 项目时间管理(05063) > 正文内容

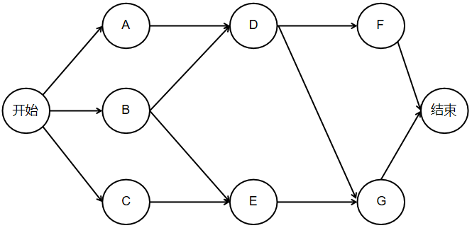
绘制单代号网络图。

高老师2年前 (2024-03-27)项目时间管理(05063)15

绘制单代号网络图。


扫描二维码免费使用微信小程序搜题/刷题/查看解析。

版权声明:本文由翰林刷题小程序授权发布,如需转载请注明出处。

本文链接:https://doc.20230611.cn/post/1111108.html

分享给朋友: