当前位置:首页 > 项目时间管理(05063) > 正文内容

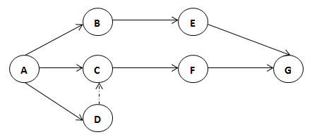
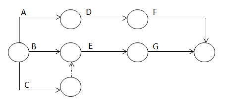
以下双代号网络图的绘制正确的是()

高老师2年前 (2024-03-27)项目时间管理(05063)13

以下双代号网络图的绘制正确的是()

A.

B.

C.

D.

正确答案是B

扫描二维码免费使用微信小程序搜题/刷题/查看解析。

版权声明:本文由翰林刷题小程序授权发布,如需转载请注明出处。

本文链接:https://doc.20230611.cn/post/1111104.html

分享给朋友: