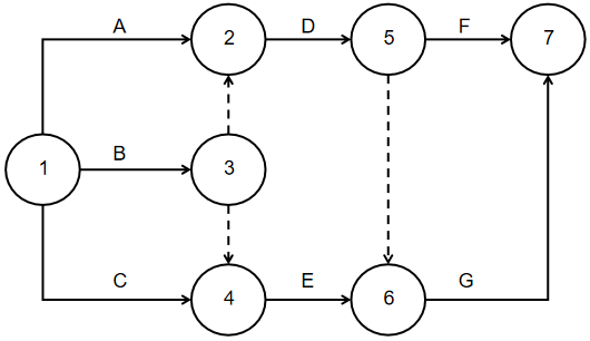
绘制双代号网络图。
扫描二维码免费使用微信小程序搜题/刷题/查看解析。
版权声明:本文由翰林刷题小程序授权发布,如需转载请注明出处。
本文链接:https://doc.20230611.cn/post/1110569.html
上一篇:Steve wanted to ask Jenny to his school’s Spring Dance, but he imagined that she had plenty of dates and wouldn’t be interested 21_____ going with him anyway. When his friends 22_____ about his plans for the dance, Steve pretended to be 23_____, but
下一篇:货币时间价值的外在表现形式是.