当前位置:首页 > 建筑材料(02389) > 正文内容

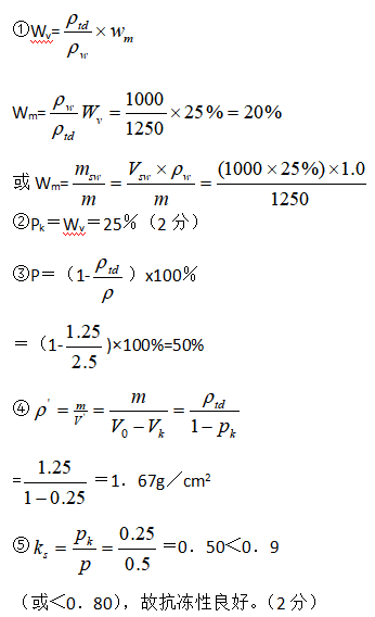
某材料的体积吸水率为235%,密度为2.5g/cm2,绝干状态与自然状态下的体积密度分别为1250kg/m3、1300kg/m2,求该材料的质量吸水率、开口孔隙率、孔隙率、视密度,并估计抗冻性如何?

高老师2年前 (2024-03-27)建筑材料(02389)18

某材料的体积吸水率为235%,密度为2.5g/cm2,绝干状态与自然状态下的体积密度分别为1250kg/m3、1300kg/m2,求该材料的质量吸水率、开口孔隙率、孔隙率、视密度,并估计抗冻性如何?

扫描二维码免费使用微信小程序搜题/刷题/查看解析。

版权声明:本文由翰林刷题小程序授权发布,如需转载请注明出处。

本文链接:https://doc.20230611.cn/post/1030558.html

分享给朋友: