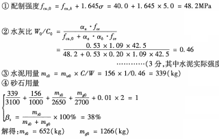
某工程需C40的混凝土,现有水泥为P·P42.5,碎石和中砂,试用体积法计算混凝土的初步配合比。(已知用水量156kg/m³,水泥的强度富裕系数为1.09,αa=0.53,αb=0.20,t=-1.645 ,σ取5.0MPa,砂率取38%,水泥密度3.10g/cm³,砂石的表观密度分别为2.65g/cm³、2.70g/cm³,混凝土拌合物的含气量取2.0%)。

扫描二维码免费使用微信小程序搜题/刷题/查看解析。
版权声明:本文由翰林刷题小程序授权发布,如需转载请注明出处。